757免费午夜在线视频,探索757免费午夜在线视频的视听盛宴
亲爱的读者,你是否曾在深夜时分,渴望寻找一份轻松愉悦的娱乐方式?今天,就让我带你探索一个神秘的世界——757免费午夜在线视频。这里,有欢笑...
外国在线视频聊天,外国在线视频聊天的魅力探索
亲爱的读者,你是否曾想过,在这个信息爆炸的时代,有一种方式可以让你与世界各地的人实时交流,仿佛他们就在你的眼前?没错,我说的就是外国在线视...
德爷在线视频观看,揭秘科技前沿,畅游知识海洋
亲爱的网友,你是否曾在某个闲暇的午后,被一段视频深深吸引,仿佛置身于另一个世界?今天,就让我带你走进德爷在线视频的世界,一起感受那份独特的...
鲁山在线视频你懂的,探寻神秘背后的真实故事
亲爱的读者,你是否曾在某个夜晚,无意间点开了一个神秘的视频网站,然后就被那些充满诱惑的标题吸引住了?今天,我要跟你聊聊的就是这样一个网站—...
痴汉 字幕 qvod在线视频
亲爱的读者,你是否曾在某个深夜,无意间点开了一个视频,结果被一段字幕吸引了眼球?没错,今天我要跟你聊聊的就是这个话题——痴汉字幕与qvod...
台州在线视频,探寻台州魅力,尽享视听盛宴
你有没有发现,最近台州在线的视频可是火得一塌糊涂啊!不管是街头巷尾,还是朋友圈里,都能听到大家对台州在线视频的赞叹声。今天,就让我带你来一...
玛雅自拍在线视频,揭秘古文明神秘面纱下的现代生活
你有没有想过,在这个信息爆炸的时代,自拍已经不再局限于朋友圈的静态照片了?现在,有一种新的潮流正在悄然兴起——玛雅自拍在线视频。没错,就是...
欧美ya在线视频,激情燃烧的青春岁月
你有没有想过,在忙碌的生活中,偶尔来点轻松的小娱乐,放松一下紧绷的神经呢?今天,就让我带你一起探索一下欧美年轻人热衷的在线视频世界,看看他...
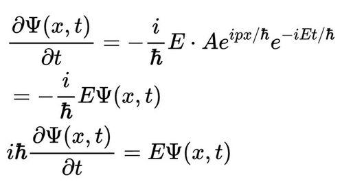
薛定谔方程在线视频,薛定谔方程的奥秘与在线视频解析
你有没有想过,量子力学那神秘的世界里,薛定谔方程是如何描绘粒子的奇妙行为的?没错,就是那个让猫既生又死的方程!今天,就让我带你一起探索这个...
夏的田舍在线视频
夏日炎炎,阳光洒在金黄的田野上,那一片片生机勃勃的景象,仿佛在诉说着乡村的宁静与美好。在这个信息爆炸的时代,即使身处繁华都市,我们也能通过...
